您的位置: 首页 - 学生工作 - 奖励资助 - 正文

奖励资助

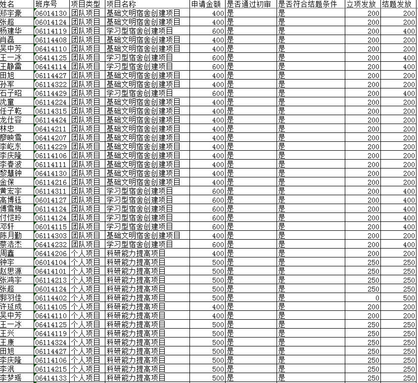
地空学院2014级第4期院级英才工程结题结果公示

发表日期:2018年04月27日点击量:发表者:

                                                                                 公示期至4月28日中午12:00,如有异议请于公示期间与学工组祁老师联系。
                                                                                                                            联系电话:027-67883253

                                                                                                                                  2018年4月26日